CKD에서 순환 내독소혈증: McIntyre 2011을 중심으로 읽는 장-신장-심혈관 축
발행: 2026-02-28 · 최종 업데이트: 2026-02-28
McIntyre 2011(CJASN)을 중심으로 CKD 단계별 endotoxemia 증가, 투석 시작 후 급상승, 염증·심근손상·사망위험 연관을 정리합니다.
이 글의 질문
LPS(내독소)는 패혈증에서만 중요한가, 아니면 만성신질환(CKD)의 심혈관 고위험 상태에도 관여하는가? 이미 LPS가 비만, 당뇨, 그리고 지방간에 미치는 영향은 연구가 많이 되었습니다. 하지만, 신장은 좀 다릅니다. 신장의 손상의 주요 원인은 LPS라고 하기는 어렵습니다. 하지만 LPS가 악화인자일 가능성은 여전히 충분합니다. 신장은 간과 달리 연구가 매우 어렵기 때문에 LPS의 영향에 대한 연구가 많지 않습니다.
McIntyre 등(2011)은 이 질문을 CKD 스펙트럼 전체(3기~투석)에서 직접 측정으로 다룬 대표 연구입니다. 이 글은 AKI를 제외하고 CKD 관점에서만 핵심 결과를 정리합니다.
여기서 CKD 단계는 주로 eGFR(estimated glomerular filtration rate, 추정 사구체여과율)로 구분합니다. eGFR은 신장이 1분에 혈액을 얼마나 걸러내는지를 추정한 값(mL/min/1.73m²)이며, 숫자가 낮을수록 신기능 저하를 의미합니다.
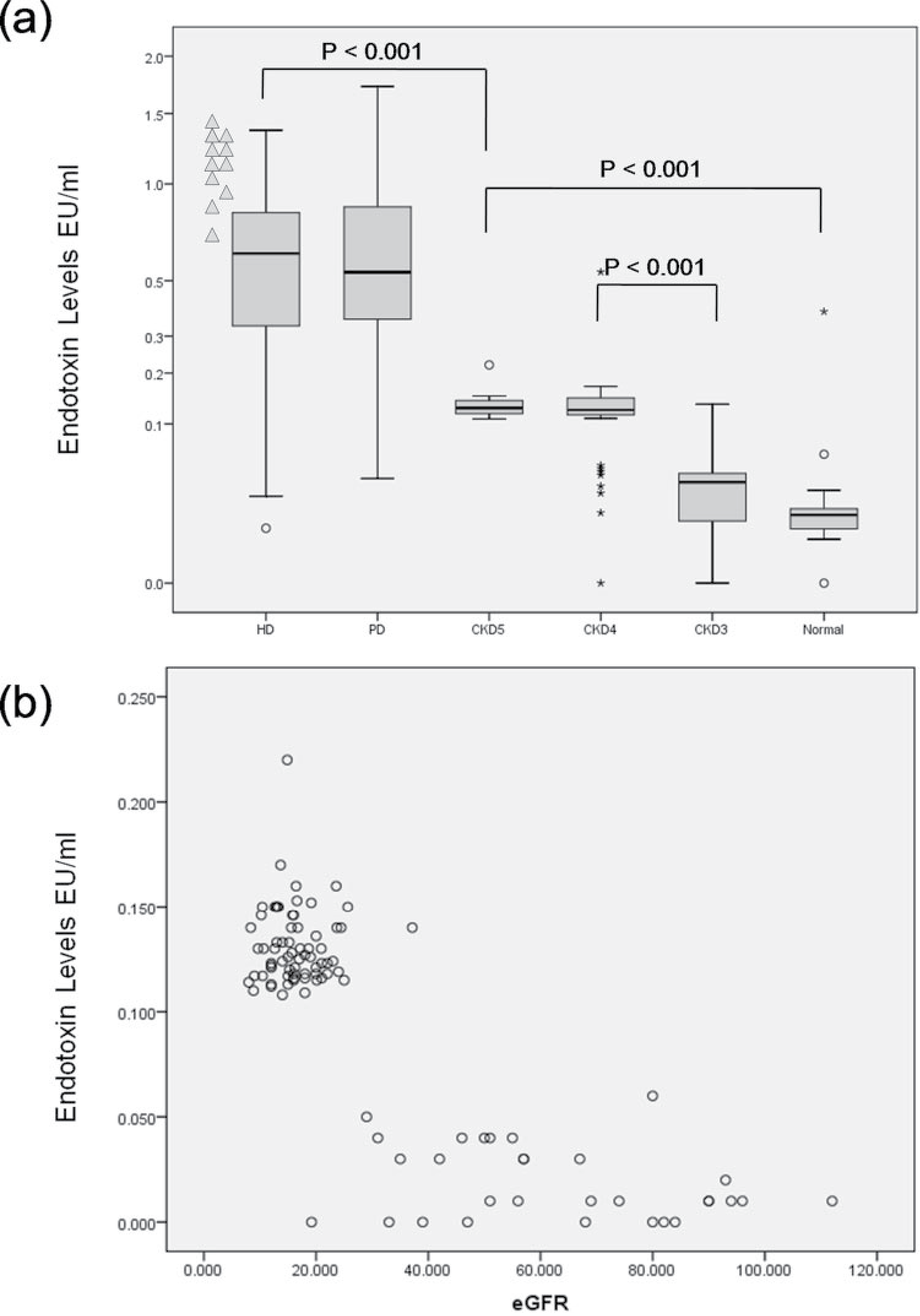
연구 설계: CKD 전 구간에서 endotoxin을 본 연구
이 연구는 CKD 3-5기(대략 eGFR 30-59, 15-29, 15 미만), 복막투석(PD), 혈액투석(HD), 비CKD 고혈압 대조군을 포함해 총 249명을 분석했습니다. 핵심은 단순 단면 비교에 그치지 않고, HD 환자에서 투석 중 혈역학 스트레스(저혈압, 초여과량), 심근 stunning, 염증지표(hsCRP), 1년 사망까지 연결해 봤다는 점입니다.
핵심 결과 1: CKD가 진행될수록 endotoxemia가 증가

논문에서 endotoxin은 CKD 단계가 올라갈수록 증가했습니다. 다만 CKD 3기와 대조군 차이는 유의하지 않았고, 더 진행된 단계에서 차이가 뚜렷해졌습니다. 즉 메시지는 단순히 "CKD면 모두 높다"가 아니라, 진행된 CKD에서 특히 두드러진다에 가깝습니다.
비투석 대비 투석 환자에서 endotoxin 농도는 크게 높았습니다(약 6배 수준으로 보고). 이는 CKD 말기/투석 구간이 endotoxemia burden의 핵심 구간임을 시사합니다.
핵심 결과 2: HD 시작이 endotoxin을 더 올린다
중요한 관찰은 "투석을 시작하면 좋아진다"가 아니라, HD 시작 직후 endotoxin이 유의하게 상승했다는 점입니다.
- HD 시작 전후(12주 이내 비교):
0.13 ± 0.3 -> 0.34 ± 0.42 EU/ml(P=0.002)
저자들은 이를 HD 중 순환 스트레스와 장관 저관류/허혈 가능성으로 해석했습니다. 즉 "요독증 자체"와 별개로, 투석 과정의 혈역학 스트레스가 장-혈류 장벽을 통해 endotoxin translocation을 악화시킬 수 있다는 모델입니다.
핵심 결과 3: 염증-심장손상-사망 위험과 연결

HD 환자에서 predialysis endotoxin은 다음과 연관됐습니다.
- 투석 중 혈압 저하/초여과량 같은 hemodynamic stress
- myocardial stunning 정도
- 심근손상 지표(troponin T)
- hsCRP
또한 1년 사망위험과도 연관이 있었지만, 투석 관련 심혈관 스트레스 변수(예: stunning, 초여과량, 투석 중 혈압저하) 보정 후에는 연관이 약화되었습니다. 해석상 중요한 포인트는, endotoxemia가 "독립 단일원인"이라기보다 투석 유발 순환스트레스 경로 안에서 함께 움직이는 병태생리 지표일 수 있다는 점입니다.
CKD 독해 포인트: 이 논문이 실제로 말하는 것
이 연구의 임상 메시지는 세 줄로 요약됩니다.
- CKD 진행과 함께 endotoxemia burden이 커진다.
- 특히 HD 시작 및 HD 중 순환 스트레스가 endotoxemia를 악화시킬 수 있다.
- 이 축은 염증, 심근손상, 사망위험과 연결되어 CKD의 과도한 심혈관 위험을 설명하는 한 축이 된다.
즉 CKD에서 LPS는 "있을 수도 있다" 수준이 아니라, 투석 환경까지 포함해 실제 임상 결과와 연결되는 신호로 취급할 가치가 있다는 것입니다.
한계와 주의점
이 논문은 매우 중요하지만, 해석할 때 과장하면 안 됩니다.
- 관찰연구 중심이라 인과를 확정할 수 없음
- endotoxin 측정이 LAL assay 기반이라 분석조건(예: heparin 영향)에 민감할 수 있음
- 단일 연구로 치료전략을 바로 확정하기는 어려움
그래서 안전한 결론은 "CKD에서 endotoxemia가 중요하지 않다"가 아니라, 중요한 축으로 강하게 의심되며, 투석 스트레스 완화 전략과 함께 검증이 더 필요하다입니다.
결론
AKI를 제외하고 CKD만 보더라도, McIntyre 2011은 LPS-saga에서 빼기 어려운 분기점입니다. CKD 진행과 투석 환경이 장 유래 endotoxin 노출을 키우고, 이것이 염증-심혈관 손상-예후 저하와 맞물릴 수 있다는 임상적 그림을 처음 체계적으로 보여줬기 때문입니다.
CKD에서 LPS의 영향은 "크지 않을 것"이라기보다, 특히 진행 CKD/투석 구간에서 무시하기 어렵다가 현재 근거에 더 가깝습니다.
참고문헌
- McIntyre CW, Harrison LEA, Eldehni MT, et al. Circulating endotoxemia: a novel factor in systemic inflammation and cardiovascular disease in chronic kidney disease. Clin J Am Soc Nephrol. 2011;6(1):133-141. https://doi.org/10.2215/CJN.04610510